
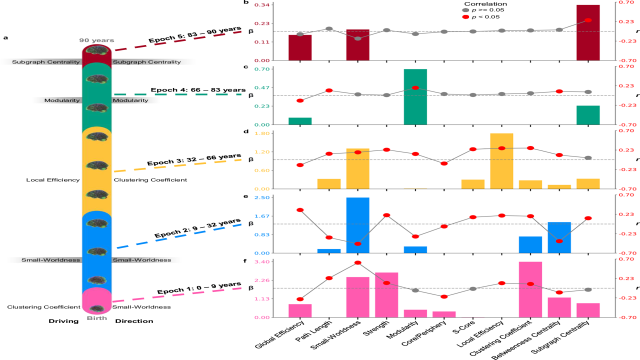
Подростковый возраст длится до 32 лет — и это полностью меняет наше представление о взрослении. Новые данные учёных показывают, что мозг развивается куда дольше, чем мы привыкли думать. Что это…

Подростковый возраст длится до 32 лет — и это полностью меняет наше представление о взрослении. Новые данные учёных показывают, что мозг развивается куда дольше, чем мы привыкли думать. Что это…