Компания Apple анонсировала выпуск нового устройства Apple Vision Pro, которое позиционируется как «пространственный компьютер». Это гарнитура дополненной реальности с расширенным функционалом. Например, устройство автоматически делает изображение прозрачным, если к человеку…
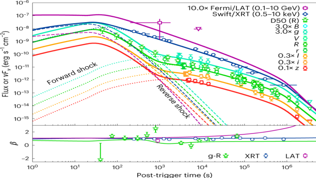
Ученые объяснили, почему мощные гамма-всплески сопровождаются излучением в оптическом диапазоне. Об исследовании, опубликованном в журнале Nature Astronomy, сообщает пресс-служба НИУ ВШЭ.
The post Астрофизики изучили оптическое излучение гамма-всплеска appeared first on…
Результаты нового исследования показали, что пищевая добавка Е955 может разрушить ДНК человека и вызвать синдром «дырявого кишечника». 🧬 Под этими цифрами скрывается подсластитель сукралоза — читайте, в каких продуктах он…
Палеонтологи в Южной Африке заявили, что нашли старейшее известное захоронение в мире, содержащее останки дальнего родственника человека с маленьким мозгом, который ранее считался неспособным к сложному поведению. Исследователи под руководством…
НАСА дало добро на полет отложенной миссии в дальний космос Psyche (Психея) стоимостью 985 миллионов долларов по исследованию богатого металлами астероида, также называемого Психея, стоимость которого может достигать 10 квадриллионов…
Как показали результаты исследований, проведенных участниками конференции Британского общества изучения сердечно-сосудистых заболеваний (BSC), наиболее опасный тип сердечного приступа — инфаркт миокарда с подъемом сегмента ST (STEMI) чаще происходит в понедельник….

Программисты создали вычислительную модель, которая может предсказывать эмоциональную реакцию людей на будущие события.
The post Нейросеть научили предсказывать эмоции людей appeared first on Хайтек. …





